Olen tavoitellut,(taistellut) ihmisoikeuksia itselleni jo 30 vuoden ajan, siinä kuitenkaan onnistumatta. Suomen valtio on luokitellut minut jonkinlaiseksi "epähenkilöksi ja terroristiksi", vain sen tähden, että olen Euroopan Unionin entisen (eronneen 16.4.2002) oikeusasiamiehen avioton "äpärä" poika. Tässä blogissa tuon esiin oikeushallintomme mädännäisyyden omien henkilökohtaisten kokemuksieni pohjalta - aina EU:n eri elimiin asti.
Translate
lauantai 29. tammikuuta 2011
perjantai 28. tammikuuta 2011
Miten käy, laittaako Ike paremmaksi kuin Tuksu?
Johanna Tukiainen "Tuksu" tuomittiin Pohjois-Savon käräjäoikeudessa 80 vrk:n ehdolliseen vankeuteen ja oheissakkoon törkeästä rattijuopumuksesta, virkamiehen vastustamisesta ja väärän hekilötiedon antamisesta. Sakkoa rapsahti 720 euroa.
Tuksu yritti "harhauttaa" poliisilaitoksella poliisisetiä esittäytymällä "Niemiseksi". No, tarkkanäköiset ammattisilmät tunnistivat erotiikkatanssijan, sillä olihan Tuksu jo esiintynyt Hymyä lukuunottamatta parissa pitäjän lehdessäkin..
Kansanedustaja Ilkka Kanerva (kok), sai syytteen törkeästä lahjuksen vastaanottamisesta ja apulaisvaltakunnansyyttäjä Jorma Kalskeen mukaan juttu tulee esille syksyllä. Asiaa aletaan istumaan Helsingissä ja ei siis Suomen Turuus..
Ilkan epäillään saaneen 50.000 euroa "etuja" yhtiöiltä, jotka suunnittelivat kauppakeskuksia Varsinais-Suomeen. Ilkka oli Varsinais-Suomen liiton hallituksen puheenjohtaja tuolloin ja kas kummaa, kuin se olisikin sopinut seksikkäästi "kaavajärjestelyissä": Toivo Sukarille, Kyösti Kakkoselle, Arto Merisalolle ja Tapani Yli-Saunamäelle, jotka rahallisesti olivat tukeneet kanervaa hänen "vaatimattomissa 60 vuotisjuhlajärjestelyissään". Kaikki osapuolet luonnollisesti kiistävät kaiken!
Olihan Kanerva jo kerinnyt tapaamaan lyhyen ulkoministeriaikansa aikana itse USA:n ulkoministeri Condoleezza Ricenkin, joten Ilkka oli Suurmies, mutta Tuksu oli vielä Suurempi. Loput tiedättekin..
Ilkka aikookin nyt keväällä valmistautua huhtikuun vaaleihin kertomansa mukaan "tekemällä enemmän jalkatyöskentelyä". Kokoomuksen johto on samaa mieltä kuin keskustan Mari Kiviniemikin (epäillyn) Antti Kaikkosen suhteen, että "kansa päättää"..
Poliitikoilla on muodostunut jo jonkinlaiseksi maan tavaksi se, että kun syytteitä napsahtaa, niin "kansa päättää heidän moraalistaan". En ymmärrä tätä yhtälöä! Jos minä tekisin pankkiryöstön, niin tokaisisin vain poliiseille kiinnijäätyäni, että "kansa päättää" ja olisin vapaa mies ja voisin vapaasti jatkaa touhujani, odotellen vapaalla oikeuskäsittelyä. Eihän jumalauta voi näin mennä! Ruotsissa on eronnut ministereitä jonkin vähäpätöisen luottokorttisähläyksen johdosta ja "muutama kruunu" kyseessä, kun taas meidän *kunnialliset* jakelee esteellisenä miljoonia yhdistykselle, joilta on aiemmin saanut vaalitukea tai "vippaa" säätiöltä pikavipin muodossa jne.jne.. Helvetti mitä paskahousuja!
Tämä on vielä jäävuoren huippu..
Tämä on vielä jäävuoren huippu..
torstai 27. tammikuuta 2011
Veljekset kuin ilvekset..
Nämä kaksi herraa, joista vasemmanpuolimmainen on Petri Knape, suojelupoliisin apulaisjohtaja ja kuvassa oikealla Ilkka Salmi ex. päällikkö ja tätänykyä huseeraa jossain päin eurooppaa toisissa tehtävissä..
He ovat joutuneet nyt epäilyksen alaisiksi ja kyseessä virka-aseman väärinkäyttö case: "Paavo Selin".
Poliisiylijohto on vielä ollut aivan hiirenhiljaa, mutta jospa kohta saisimme itseoikeutetusti kuulla Ylipoliisi Paateron kannanottoja asiaan..?
Tässä linkki SK:n uutiseen: http://suomenkuvalehti.fi/jutut/kotimaa/professori-supo-rikkoi-lakia-tietovuodon-selvittamisessa
Supo rikkoi lakia Selin jupakassa. Entäpä poliisihallitus?
Suomen Kuvalehti/HS:
"Työoikeuden professorin mukaan SUPO rikkoi lakia Selin-jupakassa.
Lapin yliopiston työ- ja virkamiesoikeuteen erikoistunut professori Seppo Koskinen katsoon suojelupoliisin johdon toimineen virkamieslain vastaisesti osastopäällikkö Paavo Selinin kohtelussa.
Tapahtumat alkoivat siitä, kun Selin ja Supon entisen päällikön Seppo Nevalan nauhoitettu puhelinkeskustelu julkaistiin Nelosen uutisissa viime syksynä.
Supon johto epäili Seliniä tietovuodosta ja ryhtyi selvittelemään asiaa työnjohto-oikeuden perusteella. Seliniltä muun muassa poistettiin kulkulupa työpaikalleen ja hänen sähköpostinsa suljettiin. Selinille ei kerrottu, mistä häntä epäillään.
Koskinen toteaa, että Selinin tapauksessa lainmukainen menettely olisi ollut pidättäminen virantoimituksesta. Työnantajan olisi silloin pitänyt esittää näyttöä siitä, että Selin oli tietojen vuotaja. Nyt Selinin oikeusturvaa loukattiin hyvin vakavasti.
Seliiniin kohdistettiin niin merkittäviä toimenpiteitä, että niihin ei voi ryhtyä vain sen perusteella, että työnantaja niin päättää. Työnjohtovalta ei riitä siihen, tästä ei ole mitään epäselvyyttä, Koskinen sanoo"..
Niin, poliisihallitus ja poliisiylijohtaja ovat asiaa selvitelleet, käsitelleet ja lopputulema oli, että "kaikki ok"? Miten voi olla mahdollista, että valtakunnan ylimmällä huipulla poliisiylijohdossa (poliisihallituksessa) ei osata erottaa työ- ja virkasuhdetta keskenään?
Missä on nyt Mikko Paatero tuo alituinen *lausuntoautomaatti*? Mitkä ovat hänen perustelunsa näin räikeälle tutkintavirheelle ja väärälle menettelymuodolle?
Jään mielenkiinnolla odottamaan vastauksia..
keskiviikko 26. tammikuuta 2011
Kohta PeR(sukset) repeää..
Timo Soinin on helppo hymyillä, kun kannatus on jo 16.2%.
Jungeria jännittää ja varmasti aina vaali-iltaan asti, se on varma SE!
Viimeiset gallupluvut lupaavat Persuille em. lukuja ja SDP:lle (18.2) ja keskustalle niinikään (18.3), kokoomuksen nauttiessa vielä yli 20 "jotain"- lukuja?
Iltalehti nettikyselyssään kysyy, että "uskotko, persujen ohittavan SDP:n vaaleissa", niin tähänastisissa äänissä hieman vajaat 5000 on tulos paljonpuhuva sekin: 82% (kyllä) ja 18% (ei).
Heitänkin jo nyt ennakkoarvioni neljän suuren osalta, joka on seuraava: 1) Kokoomus 23%, Perussuomalaiset 18.8%, keskusta 17.5% ja SDP 15.7%. Saas nährä miten osuupi kohdilleen?
tiistai 25. tammikuuta 2011
Suomen kristilliset perhearvot contra sananvapaus EIT:n linjaamana!
"Euroopan ihmisoikeustuomioistuimen (EIT) mukaan Helsingin Sanomat sai kertoa Esko Ahon presidenttikampanjassa näkyvästi mukana olleen naisen nimen vuonna 2002.
EIT asettui tiistaina antamassaan ratkaisussa eri kannalle kuin suomalaiset tuomioistuimet.
Helsingin hovioikeus tuomitsi vuonna 2007 HS:n silloisen päätoimittajan Janne Virkkusen ja entisen toimittajan Susanna Reinbothin kymmeneen päiväsakkoon yksityiselämää loukkaavan tiedon levittämisestä.
Korkein oikeus ei myöntänyt valituslupaa.
Nyt EIT katsoi hovioikeuden tuomion loukkaavan sananvapautta. Suomen valtio tuomittiin maksamaan noin 30.000 euroa vahingonkorvauksia ja 8.000 euron verran oikeuskuluja.
Tapaus juontaa juurensa helmikuuhun 2000, jolloin Ilta-Sanomat kertoi presidenttiehdokkaana olleen Ahon kampanjaorganisaatioon kuuluneen naisen avioliiton ulkopuolisesta seurustelusuhteesta.
IS:n mukaan tämä oli ristiriidassa kristillisiin perhearvoihin perustuneen kampanjan kanssa.
Ilta-Sanomat sai uutisointinsa johdosta tuomion yksityiselämän loukkaamisesta vuonna 2002.
HS kertoi tuolloin IS:n tuomiosta ja mainitsi uutisessaan naisen nimen, minkä vuoksi myös HS tuomittiin myöhemmin käräjä- ja hovioikeudessa.
Hovioikeuden mielestä HS:llä ei ollut perusteita julkaista naisen nimeä kirjoituksissaan, koska nainen ei ollut enää julkisessa asemassa ja koska käräjäoikeus oli jo aiemmin todennut, että naisen yksityiselämää oli loukattu.
Ilta-Sanomien osalta EIT ratkaisi asian viime lokakuussa.
Korkein Oikeus oli tuominnut IS:n yksityiselämän loukkaamisesta. EIT kuitenkin katsoi, että IS sai uutisoida naisen suhteesta.
EIT:n mukaan nainen ei ollut täysin yksityinen henkilö, vaan tehtäviensä julkisen ja poliittisen luonteen vuoksi poliitikkoihin ja virkamiehiin rinnastettavassa asemassa.
HS 25.1.2011 14:21"..
torstai 20. tammikuuta 2011
HS tyytyisi valtamediana case Vanhasessa "huolelliseen harkintaa"..
Kuvassa sanomakonsernin pääomistaja Aatos Erkko, jonka sukujuuret ovat Orimattilasta lähtöisin..
Itsellänikin oli -90 luvun alkupuolella kunnia olla yhteydessä arvostamaani Erkkoon, tosin vain kirjeitse, mutta ongelma tuolloin HS:n toimituksessa korjaantui, vain hetkeksi..
(Parasta Lauri Karhuvaaraa 19.1: http://www.katsomo.fi/?progId=58886 ), Kysymyksiä hieman herätti perustuslakivaliokunnan Kimmo Sasin kommentti "rakenteellisista yhteyksistä" keskustapuolueeseen ja se, että hän (perustuslakivaliokunta) julistautui *tuomioistuimeksi*? Tänään oli KRP saanut Nuorisosäätiötä koskevan tutkintansa päätökseen ja aineistoa oli syntynyt 6500 liuskaa ja syyteharkintaan valtakunnansyyttäjälle lähti 11 henkilöä "epäillyt", joten tulleepi varsin hauskat vaalinaluset. Nuorisosäätiön oli poliisin esitutkinnassa katsottu antaneen tukea 30 keskustan ehdokkaalle yli 100.000 euroa, mutta alle 150.000 euroa? (Päivitetty 24.1.2011).
Kukapa hoksaisi "koplata" ex. pääministerin syyteharkinnan ja Nuorisosäätiön syyteharkinnan toisiinsa ja vielä pyytää lisätutkintaa (mahdollisesti) ex. pääministerin rootelista edellä mainittuun..Onhan tässä nyt selvästikin *lautakasoista* suuremmasta kyse!!
Pääministeri Mari Kiviniemeä ei tänään naurattanut ja senhän kyllä hyvin ymmärtää, mutta pääasia on, että *kansa päättää*: http://www.katsomo.fi/?progId=58886
(Päivitys 24.1.11, klo. 23.00): Pakko oli vielä laittaa linkki yhteen videoon on siinä niin mannekiiniainesta: http://www.nelonen.fi/uutiset/videot-ja-uutisl%C3%A4hetykset?vt=video&vid=123927
Helsingin Sanomien pääkirjoitus tänään:
Itseäni ihmetyttää, että miksei asiantuntijaprofessoreita kuultu jo esitutkintavaiheessa, sillä valtakunnansyyttäjä olisi niin halutessaan voinut pyytää heiltä lausunnon?
Oikeuskansleri Jaakko Jonkka oli kannanotossaan jo todennut, että ex.pääministeri Matti Vanhanen (oli esteellinen), osallistuessaan RAY:ltä myönnettävien valtiontukien myöntämiseen Nuorisosäätiölle.
Komplisoidumpi kysymys kokonaisuudessaan on *virkavirhe* ja tuon tunnusmerkistön täyttyminen. Se on taas tutkintakysymys, jonka pitäisi pitkälle pohjautua YLE 1:n laatimaan/lähettämään dokumenttiin, jossa Nuorisosäätiön suhmurointia lähes jokasuuntaan laajasti selvitettiin. Tätä aihetta ei mediassa ole riittävän laajasti käsitelty? Haluttiin nostaa pinnalle vähäpätösin väite eli ns. "lautakasa"..
Kysymys siittä, onko Vanhanen "tahallansa vai törkeästä huolimattomuudesta" osallistunut miljoonatukien myöntämiseen RAY:lle, niin kokonaisuus huomioiden em. omakäsitykseni on, että ainakin tahallansa, sillä kyllä pääministerin,- oikeudellisine neuvonantajineen on täytynyt ymmärtää kaksoisroolinsa RAY:n/Nuorisosäätiön suhteen, että on jäävi (esteellinen) osallistumaan valtioneuvoston päätöksentekoon asiassa. Asiassa on vielä niin monta "muttaa", jotka ovat jääneet piiloon, kuten maaherran kaavamonopolin kaappaus aikoinaan Orimattilassa -80 luvulla, jossa vieläkin mietitään, milloin kunta olisi itse vapaa päättämään kaavoituksesta- ja kehittymisestään!
Entäpä sitten ne "yleiset syyt"? Paljonko painaa vaakakupissa se, että on lähestyvät eduskuntavaalit (huhtikuu 2011) ja asiaa vaalirahakohuineen on käsitelty mediassa jo monta vuotta? Entäpä, eikö Matti Vanhanen itse halua, että hänen maineensa puhdistetaan? Miten on oikeuslaitoksen uskottavuuden laita??
Uuden eduskunnan ja tulevan muodostettavan hallituksen on aloitettava "puhtaalta pöydältä" ja jo senkin tähden asia olisi saatettava tuomioistuimen (valtakunnanoikeuden) tutkittavaksi. Vain tämä voi palauttaa osaltaan kansalaisten luottamuksen ja uskon päivänpolitiikkaan..?
Tämä vanhascase on viimeistään osoittanut sen tosiseikan, että tarvitsemme perustuslakituomioistuimen ja jo senkin vuoksi, että Lissabonin sopimuksen voimaanastuttua ja Suomea velvoittavaksi 1.12.2009 EU-oikeus meitä velvoittaa. Korkein oikeus on tälläkin hetkellä "sokea ja ellei peräti kuuro".
Maalarit, muurarit ja rapparit & kaikki aiheesta kiinnostuneet käypääkä lukemassa asiantuntijaproffan sivut aiheesta: http://jyrkivirolainen.blogspot.com/2011/01/375-matti-nissisen-painavasta-sanasta.html
Maalarit, muurarit ja rapparit & kaikki aiheesta kiinnostuneet käypääkä lukemassa asiantuntijaproffan sivut aiheesta: http://jyrkivirolainen.blogspot.com/2011/01/375-matti-nissisen-painavasta-sanasta.html
keskiviikko 19. tammikuuta 2011
tiistai 18. tammikuuta 2011
Valtakunnansyyttäjä osoittautuikin, tekohampaat omistavaksi ja purentakyky on puutteelinen!
Kuvassa melkotuore valtakunnansyyttäjämme Matti Nissinen. Kuva lainassa googlen kuvahausta. Matilla on kuvassa jokin vempula, en tiedä, mutta olisiko jokin "alapään hierontaväline"?
Perustuslakivaliokunta salasi Matin kannanoton syytekysymyksessä ja Matti meni jostain syystä, mitä erkki ei ymmärrä, (keskeneräisenä/heikosti valmistautuneena) valiokunnan kuultavaksi, sillä valiokunta päätti vielä pyytä 6 professorin lausunnot asiasta!!
Huh..huh. tätä menoa? Tässä nyt siis selkeästi haluttaneen hakea sitä, että juttu raukeaisi ajanpuutteenvuoksi ja eduskunta ei tällä vaalikaudenlopuillaan ennättäisi Vanhaskysymystä käsittelemään. Voihan persleijaa! Kuka tekisti tästä kelvottomasta näytelmästä lopun!! Missä on media, kun ei ole muuta kuin hampaaton sopulilauma..
Eduskunnan perustuslakivaliokunta pesee tänään kätensä!
Entisen pääministerin Matti Vanhasen juttua puidaan taas eduskunnassa, kun KRP on saattanut tutkintansa loppuun. Tutkintatulokset valiokunnalle esittelee valtakunnansyyttäjä Matti Nissinen.
Hiljattain Matti Nissinen antoi HS:lle haastattelun ja "avautui" mm. viitteitä antavalla tavalla, ettei mahdollisesti "syytekynnys" tulisi täyttymään..
Kyseessähän on puhtaimmillaan kuuluisin termein "koplaus", kun pääministerinä toiminut Vanhanen jakoi runsaskätisesti RAY:n tukia keskustalaiselle Nuorisosäätiöllä ja em. säätiö taasen jakoi rahaa keskustalaisille kansanedustajaehdokkaille vaaleissa mm. "hoksaa" Matti Vanhaselle..
Oikeuskansleri Jaakko Jonkka olikin ratkaisussaan todennut, että Vanhanen oli esteellinen ja hänen olisi siis "pitänyt hoksata" jäävätä itsensä tukikäsittelyn ajaksi, vaikkakin vastaavia asioita tulee valtioneuvoston pöydälle "tuhansia"..
Valiokunta aloitti käsittelynsä tänään klo. 10.00 VSKV:n Nissisen kuulemisella, joka siis alustaa tilaisuuden, jonka jälkeen toverituomioistuimeksikin kutsuttu valiokunta ratkaisee koplausasian ex. pääministerin eduksi!
Niin, miksikö olen jo etukäteen niin vahvasti sitä katsantokantaa, on mm. se, että Kimmo Sasi perustuslakivaliokunnan puheenjohtaja on pääosin ollut tapauksesta hiljaa ja jättänyt puheliaimman vetovastuun eläkkeelle nyt (aidosti)? jäävälle kolleega Södermanille, joka onkin jakanut lausuntoja tapauksen tiimoilta varsin aktiivisesti ja useaan otteeseen todennut, että "syytekynnys onkin jo sitten toinen juttu, kuin tutkintakynnys"..
Kuinka ollakkaan herra Söderman antoi juuri sopivasti Aamulehdelle haastattelun vain yhtä päivää aiemmin eduskunnan tärkeää Vanhaspäätöstä maanantaina 17.1.2011:
"Söderman manaa Suomen maineen tärvääntymistä: "Tämä ei voi jatkua":
- Tämä ei voi jatkua. Olemme yksi surkeimpia EU-maita väkimäärään suhteutettuna, manaa eduskunnan perustuslakivaliokunnan varapuheenjohtaja Jacob Söderman (sd). Suomen saamat tuomiot Euroopan ihmisoikeustuomioistuimesta (EIT) vetävät entisen Euroopan oikeusasiamiehen mielen matalaksi.
Oikeudenkäyntien pitkittyminen on sääntö etenkin vaikeissa talousrikosjutuissa, jossa yhteistyö rikostutkinnan johtajana toimivan poliisin ja syyttäjän välillä ontuu. Söderman arvelee, että yhteistyö voisi kohentua, jos seuraava hallitus siirtäisi poliisiasiat oikeusministeriöön. Tämä helpottaisi myös EU-yhteistyötä.
- Poliisiasiat ovat oikeusministeriössä kaikissa vanhoissa EU-maissa. Tämä on toki kiistakysymys, jossa eduskunnan poliisipuolue jäpättää vastaan. Söderman sanoo. Nyt syyttäjälaitos on oikeusministeriön alla ja poliisitoimi sisäministeriön. Jako aiheuttaa turhia arvovalta- ja resurssikiistoja ministeriöiden välille. Nokittelu näkyy käräjäjonoissa Oikeustieteen professorit Dan Frände, Matti Tolvanen ja Jyrki Virolainen siirtäisivät tutkintavastuuta poliisilta syyttäjälle. (AL 16.1), jotta turhilta tutkimuksilta vältyttäisiin.
Toni Viljamaa, Aamulehti, Helsinki
17.1.07, klo. 07:13". Lainaus loppu!
Toni Viljamaa, Aamulehti, Helsinki
17.1.07, klo. 07:13". Lainaus loppu!
torstai 13. tammikuuta 2011
Julian Assange welcome to Finland
Olen ehdottomasti samaa mieltä, kuin Heikki Patomäki, joka aamuisessa HS:ssa ehdotti, että Suomen pitäisi riippumattomana maana tukea ja tarjota turvapaikkaa Wikileaksin perustajalle ja jahdatulle Julianille! Presidenttimme Tarja Halonen uudenvuodenpuheessaan, nimenomaisesti rohkaisi ja kehoitti jokaista toimimaan kansainvälisesti ja siten vaikuttamaan omalta osaltaan. Nyt olisi Suomen päättäjien, ulkoministeri Alexsander Stubille näytön paikka ja presidentti Halonen voisi "lunastaa puheensa"!!
USA ei hevin tule antamaan periksi ja mahdoton ajatus ei ole sekään, että Assange yritetään salamurhata. Viitteitä siitä on jo saatu.
Englanti käsittelee edelleen hänen luovutustaan Ruotsiin, jossa häntä odottaa (raiskauslavastusyritys), kun herra Assange oli yhdynnässä ja kävikö nyt niin, että peräti "kondomi repesi"..
Eilinen ulkolinja käsitteli Julian Assangea "Wikileaks salaisuuden voima" otsikoin ja voi käydä oheisesta linkistä katsomassa: http://areena.yle.fi/video/1607506
Ohessa kansainvälisen politiikan professori Heikki Patomäen artikkeli vieraskynä palstalla HS:ssa tänään:
keskiviikko 12. tammikuuta 2011
Austraalia on ystävällinen maa pikkulepakoille..
"Lepakkovauvoja pelastettu tulvien alta Austraaliassa".
Näin otsikoi Ilta-Sanomat eilen:
Näin otsikoi Ilta-Sanomat eilen:
"Austraalian Queenslandissa asuva Trish Wimberley on ottanut hoivattavakseen lepakoita, jotka ovat liian nuoria paetakseen.
Alueen isommat lepakot ovat jo paenneet tulva-alueelta jättäen liudan jälkeläisiään heitteille"..
Jutussa ei ollut kirjoittajaa, muuta kuin "IS". Taitaa olla lehdessä juttupulaa..
Hellyyttävä valokuva kertakaikkinensa!
tiistai 11. tammikuuta 2011
"Kuka ampuu seuraavaksi"..
Otsikko oli Jaana Pelkosen blogista Iltalehdestä lainattu, kuten valokuvakin.
Ehdotan, että Jaana Pelkonen saa vuoden "juontajakommentaattoripätkämissi"- tittelin. Jaana on suunnilleen keskikokoisen hieromasauvan mittainen, joten palkinto osuisisi kohdalleen!
Kun aikajana kääntyy selälleen, niin kyllä se populistin toivekin voi toteuta, kuin "vangin toive konsanaan". Kyllä ottaa hattuun nämä saatanan juontajamissit, jotka heräävät perkele kun Atlantin tuollapuolen jotakuta tapahtuu, mutta missä oli tämänkin persepaljaana juoksentelevan missin kannanotot esim. "Jokelan / Kauhajoen" - tapahtumien aikana, saati jälkeen?
Otsikko oli todella mauton ja vielä siksi, että se on lehden ja verrattain laajalevikkisen lehden sivuilla? Jos se olisi (omassa) blogissa, niin se olisi mielestäni vielä ok, sillä saapi se erkkikin heitellä aika-ajoin verrattain "kovaa", julkisessa (omassa) blogissa!
Otsikko oli todella mauton ja vielä siksi, että se on lehden ja verrattain laajalevikkisen lehden sivuilla? Jos se olisi (omassa) blogissa, niin se olisi mielestäni vielä ok, sillä saapi se erkkikin heitellä aika-ajoin verrattain "kovaa", julkisessa (omassa) blogissa!
Korkealentoista hoiva-ajattelua löytyy juontomissin blogista: http://blogit.iltalehti.fi/jaana-pelkonen/
Etelä- ja Pohjoiskorean välillä oli hetki sitten "pienet ampumisharjoitukset" ja niitä johti maiden johtajat. Oli varsin lähellä, ettei tilanne eskaloitunut laajamittaiseksi sodaksi, sillä senverran kovaa oli valtioiden retoriikka!
Jaana Pelkoselle sanon, että kyllä maailmassa "ampujia riittää".
Jaana Pelkoselle sanon, että kyllä maailmassa "ampujia riittää".
Poliisissa löytyy niin hyviä, kuin mätämuniakin!
Kokemuksesta tiedän varsin hyvin, että poliisissa löytyy, niin täydellisiä mätämunia, että esimerkillisen hyviä! Poliisi on inhimillinen olento, kuin muurari, maalari tai lääkäri, juristi tai muu ammattinsa edustaja.
Kuva lainattu tämänpäiväisestä Iltalehdestä, jossa taxin numero on varsin, sanoisinko peräti "oivallinen"!
Aamulehti kirjoitti aiheesta seuraavasti:
"Humalaiset poliisit ja taxinkuljettaja joutuivat sanaharkkaan ja käsirysyyn Helsingissä, kertoo Iltalehti. Liikkuvan poliisin esikunnasta eläkkeelle jäänyt poliisi ja virassa ollut konstaapeli olivat palaamassa kosteasta illanvietosta..
Miehet ottavat taxin, jolla suunnattiin Kehä ykköselle kahden ja kolmen välillä aamuyöllä marraskuussa. Vahvassa humalassa olleet poliisit huomauttelivat taxikuskille tämän turvavyönkäytöstä, nopeudesta ja ajotyylistä. Taxikuski hermostui ja pysäytti auton.
Lopulta tilanne kärjistyi niin pahaksi, että taxikuski joutui soittamaan apua. Kun apu saapui paikalle, oli käynnissä tappelu. Tappelun aikana taxikuskin lompakko oli siirtynyt toisen poliisin taskuun.
Iltalehden mukaan molempia poliiseja epäillään nyt rikoksesta. Liikennepoliisitarkastaja Harri Auvinen kertoo lehdelle, että kyseessä on epäilty lievä pahoinpitely ja näpistys. Poliisien ja taksikuskin tarinat poikkeavat ilmeisesti toisistaan jyrkästi"..
No, joo elämä on elämää ja päissään (etenkin), voip sattua kaikenlaista, oli sitten poliisi, lääkäri, tuomari, syyttäjä tai vaikkapa kansanedustaja, maalareista nyt ammattiryhmänä puhumattakaan, jotka "haistelevat tärpättiä" useasti kuukaudessa!
Itselläni ja veljelläni Jukalla, kävi varsin erikoinen ja outo, ellei peräti (ufo) kylässä keväällä 2002. Olimme tehneet toukokuussa suuren kevät/kesäostoksen Lahdessa ja tuolloin olin vielä poikamies ja asutimme yhdessä broidin kanssa hänen omakotitaloaan Lahden Renkomäessä..
Kävimme siis kaupoilla ja ostimme "koko kesän" grillilihat ja muut herkut. Kauppaan meni jotakuin 400 e ja auto oli takakonttiaan myöden täysi ruokaostoksista. Kotiin tullessa - sulloimme ne jääkaappiin ja pakkaseen. Kuivamuonat leivät & muut omaansa kaappeihin.
Tuli ilta ja eräs Antti tuttumme, tuli 2 kauniin naisen kassa kylään ja nautimme hieman juomia terassilla ja aloitimme grillikauden ja söimme, sekä nautimme juomia. Illantultua päätimme lähteä jatkoille kaupungille ja niin teimmekin. Meillä oli hauska ilta!
Kun saavuimme kotiin, niin keittiöön tultuamme saimme havaita, että "ruokarosmo" oli käynyt kylässä ja varkaissa. Lattialle oli pudonnut kuivamuonakaapista jauhoja, riisiä ja jonkinverran makaroneja oli myös lattialla, sillä nälkäinen vieras oli kiireissään lapannut "eväitä matkaansa"..
Lähempi tarkastelu paljasti, että tuo yöllinen kyläilijä tiesi tarkkaan mitä haki, sillä niin kuivaruoka, kuin jääkaapista ja pakkasesta (lihat), kaikkia oli viety n. puolet! Emme osanneet edes olla vihaisia, vaan nauroimme tapahtuneelle ja tuolloin naapurinamme ollut ex. konsta oli varmasti "laput silmillään", kuin niin monta kertaa aiemminkin..
Tämä tarina oli tosi!!
maanantai 10. tammikuuta 2011
Poliisihallitus, vai hallitus (valtioneuvosto) poliisin ohjauksessa?
Kuvassa Matti Vanhasen II-hallitus huhtikuussa 2007. Pääministerin "kompuroinnit" virassaan alkoi jo edellisessä, mutta nyt on kapteenina Mari Kiviniemi ja lieneekö Mattia parempi. Nähtäväksi jää..
Tässä kuvassa meillä on 3 joulukuusenkoristetta ja sisäministeri Anne Holmlund.
Etummaisena on Mikko Paatero (poliisiylijohtaja), jonka päätehtäviin ei pitäisi kuulua politikointi ja ei ainakaan jatkuva (yksittäistapauksiin) puuttuminen, vaan kehittää, valvoa ym. poliisitointa!
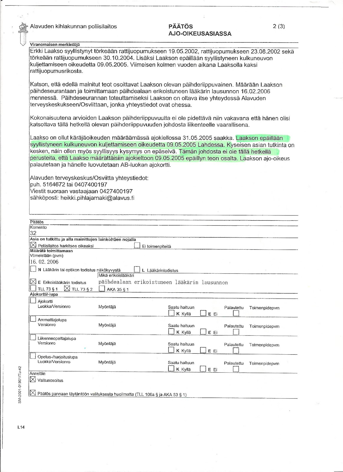
Tämä kirjoitus ja liitteet on jatkoa edelliseen, jossa lupailin hieman faktoja "kronologisessa" järjestyksessä, mutta paskat eihän tästä ota pirukaan selvää jos ei erkkikään. Aineistoni, jonka kasasin kasaan, jäi puuttumaan Etelä-Suomen lääninhallituksen poliisiosaston ratkaisu (SM-2006-00506/Tu-411) koskevassa ministeriön hallinnollisessa tutkinnan siirtoa koskevassa asiassa "muistiomme Lahden- ja Alavuden poliisin toiminnasta 2005-2006"..
Toisena jäi puuttumaan vastineeni Vaasan hallinto-oikeuden ratkaisuun 11.1.2007, mutta se käy selväksi varsin hyvin valituksestani 1.6.2006 Alavuden rikoskomisario Pasi Sillanpään menettelystä. Valitukseni oli siis voittopuolinen ja komisarion olisi pitänyt tajuta jäävätä itsensä, kun käsitteli ajokorttiasiaani ym.
Aiheeseen liittyvää, voi käydä tutustumassa blogissa "epäkelpo poliisi" ..
Tilaa:
Kommentit (Atom)






























































































